Tras la presentación de alianzas provinciales, esperan que la Cámara alta modifique mañana el calendario de los comicios. Según el esquema todavía vigente, el viernes hay que anotar las listas de precandidatos a intendente y concejal y a las comisiones comunales
Superada la inscripción de siete alianzas para las próximas elecciones provinciales, la rosca política entró ayer en fase de vigilia: es que, hasta el momento, el viernes próximo deberán estar anotadas las listas de precandidatos, salvo que el Senado nacional apruebe mañana la modificación del calendario de las Paso y los comicios generales, que obligará a una extensión de plazos en Santa Fe.
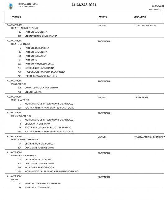
Siete alianzas se inscribieron el domingo pasado a la noche para las elecciones previstas para este año en Santa Fe, en coincidencia con los comicios nacionales
En ese marco, fueron anotadas las alianzas Frente de Todos (FdT), Frente Progresista Cívico y Social (FPCyS), Juntos por al Cambio (JxC), Primero Santa Fe, Más Santa Fe, Igualdad y Soberanía y Mejor.
El Frente de Todos, que gobierna la provincia a través de Omar Perotti, está integrado por los partidos Justicialista (PJ), Producción, Trabajo y Desarrollo, Comunista, Solidario, del Progreso Social (PPS), Confluencia Santafesina, el Frente Renovador y FE (que hasta meses atrás militaba en JxC).
En tanto, el Frente Progresista agrupa al Partido Socialista (PS), Creo, Radicales Libres, Participación, Etica y Solidaridad (Pares), Solidaridad e Igualdad (SI), Generación para el Encuentro Nacional (GEN), Libres del Sur y Partido Demócrata Progresista (PDP).
Por su parte, Juntos por el Cambio está compuesto por el PRO, un sector del radicalismo, la Coalición Cívica (CC-ARI), la Unión del Centro Democrático (Ucedé) y Unidos.
La coalición Más Santa Fe está integrada por Santafesino Cien por Ciento y Unión Federal, mientras que a Primero Santa Fe lo conforman el Movimiento de Integración y Desarrollo, Política Abierta para la Integridad Social y los partidos Demócrata Cristiano y por la Cultura, la Educación y el Trabajo.
En tanto, a Igualdad y Soberanía la integran Del Trabajo y Del Pueblo, Liga de los Pueblos Libres, Igualdad y Participación y Movimiento del Trabajo y del Pueblo Rosarino. Y Mejor quedó compuesto por los partidos Conservador Popular y Autonomista.
En principio, los comicios provinciales estaban previstos para el 8 de agosto (Paso) y el 24 de octubre (generales), pero quedaron sujetos a la modificación de la fecha de las elecciones nacionales que analizará el Senado, con una iniciativa que las fijará para el 12 de septiembre (primarias) y 14 de noviembre (legislativas).
“Si hay postergación de los comicios en Santa Fe por tener una ley de adhesión a lo fijado en su momento por la Nación, como convocó el gobernador en el decreto Nº 281, se modificarían las fechas a las que establezca la Casa Rosada”, indicó Pablo Ayala, secretario Electoral provincial.
Movidas
Como curiosidad, la diputada provincial Cesira Arcando (FE) justificó la razón de su salto de Juntos por el Cambio (2019) hacia el Frente de Todos en que el espacio que representa tiene un origen “gremial y peronista”.
A su vez, con la mira centrada en la Legislatura y algunos Concejos Municipales, los diputados provinciales Rubén Giustiniani y Carlos Del Frade avanzaron con Igualdad y Soberanía.
Por lo pronto, la mayoría de los espacios políticos santafesinos ya aprontaron a sus apoderados para la presentación de listas de precandidatos a intendente y concejal y a las comisiones comunales, programada para el viernes. No obstante, el escenario cambiará si el Senado nacional avala los cambios en el cronograma electoral, que implicará el corrimiento de los plazos.
De hecho, en algunas coaliciones no descartaron la posibilidad de repetir el trámite cumplido poco antes de que expirara el domingo. Habrá que ver la letra fina de la iniciativa que terminará avalando la Cámara alta de la Nación en las próximas horas.
En ese contexto, también se anotaron siete frentes distritales: Mejor (Rosario), Unidad Popular (Laguna Paiva), Confiar (Pérez), Nuevo Bermúdez, Primero Venado, Somos Florencia y Somos San Guillermo.
La previa incluyó múltiples reproches: los partidos políticos que integran el Frente Progresista expusieron el sábado su “malestar y profunda preocupación” por la decisión de la Casa Gris de no prorrogar los plazos del cronograma electoral, al igual que el radicalismo santafesino durante la convención provincial realizada el viernes.


